[新しいコレクション] 因数 分解 とは 428155
整数分解工具计算一个给定的自然数的质因数,也可以使用带 * / ^ !Feb 18, 21今回は中学3年生で学習する、因数分解をみていきたいと思います。 正直苦手という人も多いのではないでしょうか?因数分解はこの後の高校数学でもかなーり重要になるところ! 慣れるまでは難しいと感じるかもしれませんが、問題演習を繰り返し、公式を使えるようになればこっちNov 27, 同様に素因数分解とは、ある数に着目時にすべて割り切れない素数の積で表されるまで因数分解することを意味しています。 上の数値のに着目しますと ・=2×2×5 が素因数分解した結果となるわけです。 このように因数分解と素因数分解には違いが
高校数学 因数分解 解の公式を使ってルートが登場する因数分解を解けるようになろう 数学の面白いこと 役に立つことをまとめたサイト
因数 分解 とは
因数 分解 とは-May , 18つまり、 「展開」と「因数分解」は逆の関係になっています。 また上の例では、因数分解した結果、 (x+3)と (x+8)のかけ算になりました。 このように、 因数分解してかけて合わされている、(x+3)と (x+8)のような式を「因数」といいます。Apr 03, 18因数分解 • 加減算で構成された式を積の形に分解する(展開の逆) • 共通のものをまとめてくくりだす • 分解したそれぞれの要素を因数という • 内容が懐かしい(*^ ^*) 3𝑎 3𝑏 = 3 𝑎 𝑏 5𝑥 10𝑦 = 5 𝑥 2𝑦 𝑥2 5𝑥 6 = 𝑥 3 𝑥 2



因数分解を理解しよう 数学嫌いな子のための簡単理解法 分かりにくいを分かりやすいに
多項式と単項式の乗法除法 式の展開 乗法公式 (xa) (xb)の展開 乗法公式 2乗の展開 乗法公式 和と差の積の展開 式の展開 いろいろな計算 式の展開 四則 因数分解1_共通因数をくくりだす 因数分解2_ (xa) (xb) 因数分解3_2乗 因数分解4_ (xa) (xa) 因数分解 おきかえ 共通因数をくくりだした後さらに因数分解 項を分けて因数分解する1 (発展) 項を分けて因数分解する2 (発展)Mar 06, 21因数分解公式(n乗の差,和) 等比数列の和にまつわる因数分解公式です。整数問題に応用されます。 因数分解公式(ソフィージェルマンの恒等式) こちらも数学オリンピックの整数問題などに応用されます。かなり発展的な公式。 交代式の因数分解と実践的な例題1次式の因数分解は,共通因数でくくる変形があるだけですから,共通因数を考えます. (ab) x (ab) (a−b) = (ab) (xa−b) (答) この問題を a について整理しても間違いではありませんが,2次式の因数分解になるので次のようにやや複雑になります. a x
Dec 25, 19に因数分解することで、客数と客単価どちらに主に原因があるのか分かります。 また、更に因数分解することで、より詳細に原因を特定していくことが可能となります。 例えば、 客数 = 新規客数 + リピート客数因数分解(入試問題) == 因数分解(高校入試問題) == 例1 x 2 −25 を因数分解しなさい. (群馬県, 愛媛県 / 17年) (考え方) 因数分解公式 x 2 −a 2 = (xa) (x−a) を利用します.Mar 12, 21有名な因数分解公式: a^3b^3c^33abc\\ = (abc) (a^2b^2c^2abbcca) a3 b3 c3 −3abc = (a b c)(a2 b2 c2 −ab− bc −ca)
因数分解機 x についての式を因数分解します。 数字のみ入力すると素因数分解します。 x 以外の文字(a~z)も含む多変数の多項式の因数分解には、「 因数分解機 多変数版 」をご利用ください。日本大百科全書(ニッポニカ) 因数分解の用語解説 一つの整式が二つ以上の整式の積に等しいとき、積に現れる各整式をもとの整式の因数といい、与えられた整式をその因数の積で表すことを因数分解するという。たとえば、 2x3+4x=2x(x2+2) a2-b2=(a-b)(a+b)における右辺が左辺の因数があったよね?? 因数分解する「項の数」で公式をえらぶんだ。 項の数が「2」⇒ 分解型;



高次方程式とは 因数分解 因数定理による解き方と計算のコツ 受験辞典



因数 分解 と は
May 06, 16つぎは因数分解の公式をえらぼう! 中学数学でならう因数分解の公式には、 分解型;Nov 06, 「因数分解」とは、その名の通り「因数」に「分解」することですが、その因数とは何かというと、次のように説明されています。 1つの式がいくつかの単項式や多項式の積の形で表されるとき、その1つ1つの式をもとの式の因数という。Dec 13, 18因数分解共通因数でくくるやり方まとめ! お疲れ様でした! 以上、共通因数でくくり因数分解のやり方でした。 共通因数でくくるというのは、ちょっと慣れが必要かもしれませんが何度も練習していれば苦労なく解くことができるようになります。



因数分解を解く考え方 1 高次式 齊藤数学教室 算数オリンピックから大学数学入門



因数の頭に解宿る 因数分解から方程式へ 勉強法のバイブル 帝都大学へのビジョン
Aug 10, 19因数分解について 因数分解とは? そもそも 因数分解とは、足し算・引き算の式を掛け算の式に変形すること です。 実際に式で見てみましょう。 $$3x^{2}7x2$$ この式は\(x\)の二次式で、足し算・引き算の式になっていることがわかると思います。動画一覧や問題のプリントアウトはこちらをご利用ください。ホームページ → http//19chtv/ Twitter→ https//twittercom/haichi_toaruJun 30, 18因数分解のポイント2 置き換え 因数分解のポイントの2つ目は「 同じ形をしたものには置き換えを利用する 」です。 与式の中に 同じ形をしたもの が見られる場合があります。 特に、 同じ形をしたものが多項式 であるとき、1つの文字に置き換えてみましょう。



数学授業のネタ25 いろいろな因数分解 みぞえおじむのブログ



高校数学 数 11 因数分解 3次式の公式編 Youtube
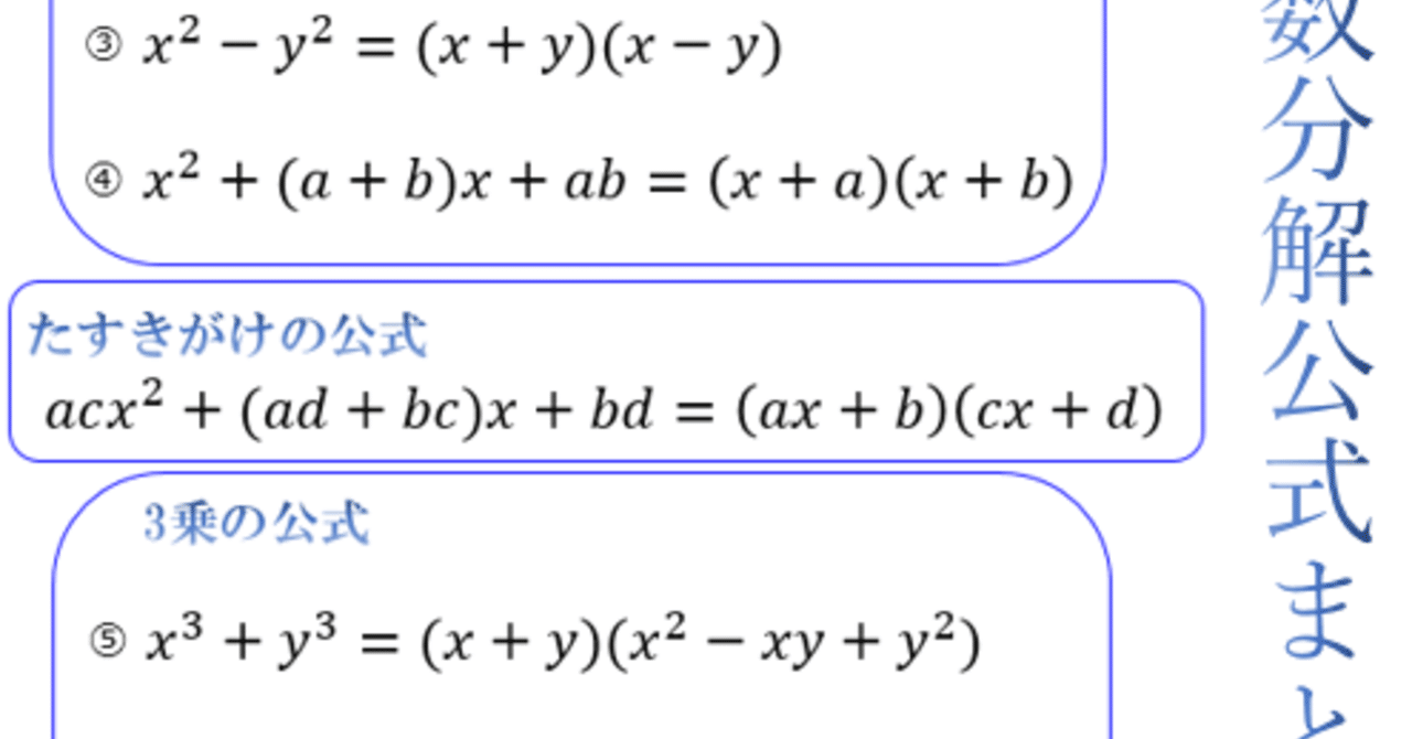
Jan 24, 21因数分解とは そもそも、因数分解とはなにか。 どのようなことをするのかから解説していきます。 数学が苦手だ・まだ習っていないという方は、こちらから見始めてください!因数分解公式一覧(全22個) 最終更新日 ~中学数学で最初に習う、基本的な公式~ x 2 ( a b) x a b = ( x a) ( x b) x 2 2 x y y 2 = ( x y) 2 x 2 − 2 x y y 2 = ( x − y) 2 x 2 − y 2 = ( x y) ( x − yMay 21, たすきがけを初めて使う場面は、\(6x^211x4\) を因数分解せよ。のような、 文字係数がすべて整数 となっている場合の因数分解だと思います。 今回は、 係数に文字を含む場合のたすきがけ を見てみましょう。



中学数学 因数分解の簡単な解き方がわかる3つのステップ Qikeru 学びを楽しくわかりやすく



数学 中3 27 二次方程式 因数分解とのコラボ編 Youtube
Nov 18, 19因数分解とは 因数分解とは文字通り「 因数に分解する 」という意味です。 先程の例をもう一度ご覧いただければお分かりかと思いますが、因数に分解することで数字を簡単にすることが出来ます。 3×4のような単純な計算ではあまり意味はありませんが、長く複雑な計算をする場合は簡単な数字に整理することで計算ミスを防ぐ効果があります。 因数分解をするNov 19, 5番 t=x^2 t = x2 とおく。 因数定理を考えると、 0 0 とならないので一次の因数は持たない。 分解できるならば、二次の因数同士になる。 t^46t^33t^22t9= (t^2atb) (t^2ctd) t4 − 6t3 3t2 2t 9 = (t2 at b)(t2 ct d) と分解できるとおけるJun 17, 21複雑な因数分解を解く時に大事なのは、共通部分といった式を文字に置き換えることによって因数分解をして、因数分解によって式を変形して文字を戻した後も因数分解ができる部分があれば因数分解していくことです。 もし文字で置いても因



6 4 因数分解 基本脱出 勉強できようサイト



因数分解 の勉強法のわからないを5分で解決 映像授業のtry It トライイット



数学 中3 6 因数分解 Youtube



高校数学 因数分解 解の公式を使ってルートが登場する因数分解を解けるようになろう 数学の面白いこと 役に立つことをまとめたサイト



3分で分かる 因数分解の公式と解き方のコツ 練習問題と解説をわかりやすく 合格サプリ



因数分解の公式 中3 その2 鶴城数人 Note



因数分解とは 中学数学 因数分解 1 Youtube



数探高校講座 数学 数と式 5 因数分解 1 数学探究所



授業 数学 数と式 因数分解の基本ルール オンライン無料塾 ターンナップ



高校数学 因数定理と3次式の因数分解 練習編 映像授業のtry It トライイット



高校数学 2次3項式ax Bx Cの因数分解 たすき掛け 受験の月



因数分解 2 たすきがけの思考手順 怜悧玲瓏 高校数学を天空から俯瞰する



中三受験講座 英数ポイント解説映像授業 進研ゼミ中学講座会員サイト



因数分解の応用編2 看護学校の受験数学 中学数学 を分かりやすく図解で説明 Kazアカデミー 大阪の看護学校 看護予備校



因数分解 怜悧玲瓏 高校数学を天空から俯瞰する



因数分解 富岡市の総合学習塾 トータルアカデミー



因数分解とは 公式や計算のやり方 問題の解き方 受験辞典



無料ダウンロード因数 分解 応用 問題 最高のぬりえ



数学 こんな因数分解は役に立つ



因数分解 おいしい数学



因数分解を利用した計算を理解しよう 数学嫌いな子のための簡単理解法 分かりにくいを分かりやすいに



中学数学 因数分解の2つの公式の覚え方 Qikeru 学びを楽しくわかりやすく



因数 分解 サイト



高校数学 因数分解の工夫 置き換え 受験の月



因数分解の感覚を身につけると問題解決は異常に捗る 株式会社key Performance



改訂版 4step数学 P11 3 因数分解



中学生向け 因数分解の問題を解く2つのチェックポイント 京橋数学塾a4u



因数 分解 サイト 因数分解とは 公式がいらなくなる問題の解き方のポイント 中学3年



因数分解の勉強法 札幌市 西区 琴似 発寒 学習塾 個別指導塾 マナビバ



高卒認定試験数学の因数分解 たすきがけ その他の出題パターンも解説 坂田先生のブログ オンライン家庭教師の数学講師



たすき掛けのやり方 因数分解がスラスラ解けるようになる 練習問題付き 高校生向け受験応援メディア 受験のミカタ



因数分解の公式 2 看護受験の必須 数学の公式を確認テスト Vol6 Kazアカデミー 大阪の看護学校 看護予備校



文字が3つの因数分解 すうがくのいえ



因数分解の解き方や問題 中学3年生の方は 必見 三重の個人契約家庭教師



新鮮な因数 分解 難しい 問題 最高のぬりえ



因数分解を解く考え方 10 10 11 解説 齊藤数学教室 算数オリンピックから大学数学入門



中3 中3数学 式の計算 素因数分解と因数分解 中学生 数学のノート Clear



中3数学基礎ー展開 因数分解ー式の展開 塾専用教材取扱所



中3 中3数学 いろいろな因数分解 中学生 数学のノート Clear



数学 3次式の因数分解の公式の使い方とコツ ページ 2 教科書より詳しい高校数学



因数 分解 と は 公式いろいろ 因数分解のいろいろな問題とその解き方 スタディクラブ情報局



高校数学 数 10 因数分解 応用編 Youtube



最高かつ最も包括的な複雑 な 因数 分解 最高のぬりえ



高校数学 因数分解 複素数が登場する因数分解の方法 数学の面白いこと 役に立つことをまとめたサイト



好き の因数分解 Amazon Com Books



因数 分解 と は 公式いろいろ 因数分解のいろいろな問題とその解き方 スタディクラブ情報局



高校数学 数 8 因数分解 基本編 Youtube



文字が3つの因数分解 すうがくのいえ



高校1年 数学i 因数分解 予習用練習問題 あかぎのすその



Catatan Tentang 乗法公式 因数分解公式 Junior High 数学 Clear



中3 中3数学 式の計算 素因数分解と因数分解 中学生 数学のノート Clear



因数分解の過程を教えてください Clear



これで完璧 因数分解の基礎の解説完全版 中学生の勉強法



天才数学者が考案した二次方程式 因数分解の新しい解き方 これは簡単で面白い 数学の面白いこと 役に立つことをまとめたサイト



因数 分解 と は 公式いろいろ 因数分解のいろいろな問題とその解き方 スタディクラブ情報局



因数分解 たすきがけ Ver 2 Geogebra



中3数学 因数分解はどう解くの 展開 因数分解の 解き方 教え方 いっしょに勉強しよ



因数分解の係数や組み合わせを求める問題 無料で使える中学学習プリント



高校入試 因数分解の難問を解説 難関高校の入試問題に挑戦しよう 数スタ



因数分解 共通因数 Youtube



3次式の因数分解 公式とやり方について問題を使って解説 Youtube



因数分解例題解答 Of 京極一樹の数学塾会員頁



因数分解の技 すうがくのいえ



黒木玄 Gen Kuroki 移項る 4x 8のℤ X における素因数分解は 2 2 X 2 で正解だが 4 X 2 は不正解になる 4x 8の ℚ X における素因数分解は4x 8のままでも正解 T Co S40k2i5kth T Co Raxz2vkiwe



中学3年数学 因数分解 因数分解をわかりやすく解説 高校入試出題率100 数学の面白いこと 役に立つことをまとめたサイト



因数分解のパターン チーム エン



天才数学者が発明した新しい因数分解が神すぎる 大学 高校入試徹底研究



因数分解 7 複2次式の因数分解 怜悧玲瓏 高校数学を天空から俯瞰する



ひたすら因数分解 Tod Applications



中学3年生因数分解難問 いちごのつぶつぶ Justcalm1のブログ



因数分解の勉強法 札幌市 西区 琴似 発寒 学習塾 個別指導塾 マナビバ



高校数学 因数分解公式と3次式の因数分解 A B C 3abc 受験の月



高校数学 複2次式 2乗の2次式ax Bx C の因数分解 受験の月



因数分解を理解しよう 数学嫌いな子のための簡単理解法 分かりにくいを分かりやすいに



因数分解 Ict教材eboard イーボード



中3数学 因数分解とはなんだろう Qikeru 学びを楽しくわかりやすく



素因数分解とは 素因数分解のやり方を練習問題と解説でマスターしよう 高校生向け受験応援メディア 受験のミカタ



展開 因数分解を利用する問題 鶴城数人 Note



たすき がけ 因数 分解 たすきがけの因数分解



学習指示 中3 数学 因数分解 P19 P22 坂東市進学塾 スタディ ポート 港日記 楽天ブログ



英語を話せない を因数分解してみた Kanalog



因数分解 共通因数でくくる場合のやり方は マイナスのときはどうする 数スタ



因数 分解 の 公式



因数分解 4 スーパーたすきがけ 怜悧玲瓏 高校数学を天空から俯瞰する



第1章1講目 3次の因数分解 3次式の代表的な因数分解できますか ニコニコ動画



3分で分かる 素因数分解のコツやルールをわかりやすく 合格サプリ



たすき がけ 因数 分解



因数 分解 と は 公式いろいろ 因数分解のいろいろな問題とその解き方 スタディクラブ情報局



因数分解の公式 中3 鶴城数人 Note



数学 中3 9 因数分解 もっと応用編 Youtube



因数 分解 コツ 複雑な式の因数分解 数学 苦手解決q A 進研ゼミ高校講座 ベネッセコーポレーション Amp Petmd Com
コメント
コメントを投稿